![]() |
| أسماء المعلمين المساعدين الناجحين فى مسابقة الـ30 ألف معلم بسوهاج |
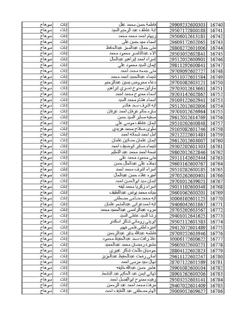
ننشر أسماء المقبولين في مسابقة الـ 30 ألف معلم بسوهاج
أعلنت مديرية التربية والتعليم بمحافظة سوهاج ، منذ قليل ، كشوف المقبولين في مسابقة 30 ألف معلم ، من الدفعة الثانية والمتظلمين من الدفعة الأولى.
كشوف المقبولين في مسابقة 30 ألف معلم بسوهاج
وكانت وزارة التربية والتعليم ، أعلنت في تصريحات سابقة أن هذه الخطوة تأتي في إطار حرص الدولة على توفير كوادر تعليمية مؤهلة قادرة على تقديم أفضل الخدمات التعليمية للطلاب ، وتلبية احتياجات سوق العمل المتزايدة.
وجاءت أسماء المقبولين طبقا للكشوف المعلن عنها كالتالي :
بالرابط .. تعرف على نتيجة مسابقة الـ 30 ألف معلم المرحلة الثانية بجميع المحافظات
أعلنت مديريات التربية والتعليم ، نتيجة مسابقة 30 ألف معلم المرحلة الثانية ، وذلك عبر الموقع الرسمي لبوابة الوظائف الحكومية.
وخصص الجهاز المركزي للتنظيم والإدارة ، رابط الاستعلام عن نتيجة مسابقة التربية والتعليم بالرقم القومي 2024 في جميع المحافظات وذلك من خلال بوابة الوظائف الحكومية .. اضغط هنا
وشهدت مسابقة 30 ألف معلم إقبالًا كثيفا من قبل المواطنين ، والتي تعد من الفرص المتاحة للتوظيف داخل أروقة وزارة التربية والتعليم ، حيث تعمل الدولة على توفير الكثير من فرص العمل للشباب الخريجين ، بالإضافة إلى سد عجز وزارة التربية والتعليم بالنسبة للمعلمين.
نشرت مديريات التربية والتعليم بالمحافظات أسماء مسابقة 30 ألف معلم ، وذلك بعد قبولهم في هذه المسابقة ، حيث يقوم كل متقدم بالاطلاع على الكشف الخاص بالناجحين ، والتي أعلنت عنه كل مديرية داخل المحافظة ، حيث اختلفت عدد المقبولين داخل كل محافظة ، طبقا للعدد المتاح للتوظيف بالمدارس.
















اكتب تعليقك اذا كان لديك اى تسائل عن الموضوع ، وسنجيبك فور مشاهدة تعليقك